技术中心
行业解决方案
随机文章选读
联系我们
  • 联系人:董先生
  • 联系电话:137-10902965

如何计算洁净室换气次数?

文章来源://www.capeel.com/  2018年04月01日  点击数:20171

摘要:为减少洁净室能耗,提出了理论计算洁净室换气次数的新数学模型,新模型基于室内空气颗粒物输送的模拟流程,室内气溶胶浓度计算考虑了换气次数、室内颗粒物散发量、过滤器效率、新风比和室外气溶胶浓度等多个参数.将新的数学模型与以往的数学模型进行了对比,新的数学模型考虑了更多的环境参数和变量的影响,这使得新的数学模型计算得出的换气次数更合理、更精确.采用敏感性分析的方法,评价了各个变量对洁净室洁净度的影响大小.研究结果表明计算室内气溶胶浓度时考虑更全面的参数变量可以把洁净室的换气次数降到最小并满足洁净室要求,从而有效降低洁净室的能耗.

洁净室是指悬浮粒子的浓度受控,其建造和使用方式使得进入、产生、滞留于室内的颗粒物最少;室内的其他参数,如温度、湿度、气压按需要受控[1],也就是说不论外界的空气条件如何变化,洁净室内都能具有维持原先所设定的洁净度、温湿度及压力等特性.非单向流洁净室也俗称乱流洁净室,利用过滤效率超过99.97%的高效颗粒物空气(HEPA)过滤器去除送风中的颗粒物,大量洁净空气送入房间稀释颗粒污染物,降低气溶胶计数浓度达到要求的洁净室级别.洁净室可以分为工业洁净室和生物洁净室.目前,洁净室在医药与医学行业、化妆品行业、半导体行业、食品行业以及生物工程行业等得到了广泛的应用.然而随着洁净室的广泛应用,洁净室的高能耗问题越来越引起人们的关注.为了维持洁净室内较低的颗粒物浓度,洁净室设计人员通常通过提高换气次数利用洁净空气稀释颗粒污染物的方式来实现,这就使得洁净室的能耗是相同空间普通建筑的能耗的50 倍左右[2].现在洁净室的换气次数大致范围为15~600次/h,而普通建筑的换气次数大致范围为6~25 次/h,洁净室的换气次数不仅要满足热、湿负荷的需要,更重要的是稀释和去除室内颗粒物从而达到降低室内

颗粒物浓度的目的,较大的换气次数虽然能满足洁净室洁净级别的要求,但是却造成了巨大的能源浪费,给国家和企业造成沉重的能源负担和经济负担.随着我国经济的飞速发展,大量的工业洁净室和生物洁净室相继建成,洁净室面积呈现飞跃增长,洁净室节能已迫在眉睫,而洁净室节能的关键是减少送风量,即减少换气次数.笔者重点讨论了洁净室换气次数的新计算方法,并对新计算方法的变量灵敏性和节能性进行了分析.

1 洁净室设计中换气次数的计算方法及不足

目前,洁净室设计中广泛采用以下3 种计算方法来确定换气次数.

第一种计算方法是根据各个标准推荐的换气次数建议值,这些标准包括IEST(美国环境科学与技术学会)推荐的建议值[3]、ISO(国际标准化组织)推荐的建议值[4]和国标GB50073 推荐的建议值[5]等.这些标准中推荐的不同级别洁净室换气次数如表1 所示.然而,这些标准中的建议值来源于标准制定专家委员会的工程经验,只是建议了满足洁净室级别所需要的换气次数(出于安全保险的原因,实际上是最大颗粒物污染负荷情况下的建议值),没有给出科学的计算方法,更没有考虑每个洁净室的实际情况,忽略了许多关键性因素的定量分析,如室内颗粒物的产生率、颗粒物的表面沉降率、通过送风进入室内的颗粒物的浓度和通过回风和排风带走的室内颗粒物等.这种按照标准建议方法确定的换气次数使其偏离于实际需要,很多情况下换气次数很高但洁净室的洁净度并没有明显提高,究其原因就是没有考虑洁净室的实际需要而盲目地参考标准的建议值.

  

第2 种计算方法是根据一些专家或学者推荐的经验换气次数计算公式来确定换气次数[6-7].同样,这种方法也仅考虑了一些简单可预测的因素,忽略了大量决定性因素,使得洁净室的换气次数与实际需要值偏差较大.

第3 种计算方法是一些有经验的设计人员根据以往的设计经验来确定洁净室的换气次数[8-10].采用这种计算方法时设计人员往往只考虑建筑物的体形系数、洁净级别等,这种计算方法虽然也能满足洁净级别,但具有一定的盲目性,忽略了不同工艺类型洁净室之间的差别,当洁净级别不能满足洁净度要求时,设计人员又试图通过提高换气次数来满足洁净级别,结果造成洁净室换气次数偏大,使洁净室的能耗增大.

现有的确定洁净室换气次数的计算方法都是仅仅从洁净级别变化单值函数的角度来确定洁净室的换气次数,上述3 种计算方法不同程度地忽略了一些关键性的变量,如室内颗粒物的产生率、颗粒物的表面沉降率、送风带入室内的颗粒物、回风去除的室内颗粒物和排风带走的室内颗粒物等,从而造成无论是各个标准对换气次数的建议值或是根据经验公式都出于对最大颗粒物污染负荷情况的考虑,得到的计算值都会使洁净室的换气次数偏大,而工程实践中已经证明小的换气次数同样能够满足洁净室的洁净级别[11].基于这种情况,迫切需要一种更科学全面的精确计算方法来确定洁净室的换气次数.科学的换气次数计算方法,应包括所有的影响洁净室洁净度的相关参数变量及动态变化.随着科技的发展,一些原来不能准确测量的变量,如气溶胶颗粒物的沉降率等已经可以测量,并且可以定量地加以计算,这就为全面科学的洁净室换气次数计算方法提供了可能.

2 洁净室换气次数的计算模型

新的计算模型中应该包括所有的影响洁净室洁净级别的关键性参数和变量,以至于在洁净室设计中完全可以通过计算这些关键性的参数和变量来科学地确定洁净室的换气次数.在设计中,洁净室的基本空调净化气流循环模型如图1 所示.图1 中:V 为洁净室体积,m3;qV,OA为新鲜空气体积流量,m3/h;qV,SA 为送风的体积流量,m3/h;qV,EA为排风的体积流量,m3/h;qV,RA 为回风的体积流量,m3/h;qV,Q 为漏风的体积流量,m3/h;Cs 为洁净室内颗粒物的浓度,个/m3;C0为新鲜空气颗粒物的浓度,个/m3;EU为空气处理机组中过滤器的总效率;E 为高效过滤器的效率;G 为洁净室内颗粒物的产生率(整个洁净室的平均值),个/m3?h);D 为洁净室内颗粒物的表面沉降率,个/(m3?h).

    

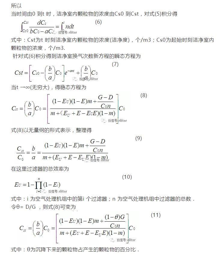
根据此洁净室的基本气流模型,由颗粒物的质量平衡方程得到换气次数的计算式,计算式推导如下:在dt时间内,洁净室内颗粒物的改变量=送风导致的颗粒物的增加量+洁净室内颗粒物的产生量-回风带走的颗粒物的质量-排风带走的颗粒物的质量-漏风带走的颗粒物的质量(当洁净室为负压时,符号为+)-洁净室内颗粒物的沉降量,即

式中:θ为沉降下来的颗粒物占产生的颗粒物的百分比.

3洁净室换气次数的计算模型比较

 

新的洁净室气溶胶浓度计算数学模型与文献[6-7,12-15]研究的数学模型对比见表2.从表2 可以看出,新的计算模型更全面地描述了洁净室的工作状态,它包括所有关键性的变量和参数,这使得新的方程更完整,由此计算出的换气次数也更准确、更科学、更接近于实际需要.

4 新的洁净室气溶胶浓度计算数学模型中关键变量分析

4.1 变量灵敏度分析

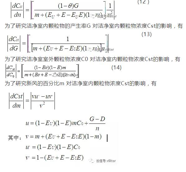
新的模型中包含了许多以前模型中没有的关键性变量,这些关键性变量对洁净室内颗粒物的浓度都有影响.为了研究这些关键性变量对洁净度的影响,需要进行变量的敏感性分[16].现对式(10)中的一些关键性变量进行微分计算,进而研究这些关键性变量对洁净室内气载颗粒物浓度影响程度.为了研究换气次数n 对洁净室内颗粒物浓度Cst的影响,有

由计算可以得出

从微分的计算结果可以看出换气次数对洁净室内颗粒物的浓度Cst影响最大,也就是说换气次数是最关键的变量,室外新风浓度影响最小.这是根据典型的洁净室的参数值得出的结果,洁净室的设计人员和使用人员可以通过使用自己的洁净室的参数值分析这些变量的相对重要性.在洁净室设计、运行、使用过程中控制主要参数,做到有的放矢,而不是盲目地去控制某一变量.

现以洁净室ISO6 级为例进一步说明新数学模型对洁净室洁净度的影响,洁净室ISO6 级规定洁净室的洁净度为大于等于0.5μm 的悬浮颗粒数每立方米不超过35200.对于新的数学模型式(8),当m=15%、EU=95%、E=99.97%、θ=15%、Cst=17,600 个/m3(取洁净室ISO6 级洁净度下限的一半)和C0=109个/m3(≥0.5μm 的颗粒物)时,换气次数为

当洁净室内颗粒物的产生率G(≥0.5μm 的颗粒物)不相同时,换气次数见表3.


洁净室ISO6 级对洁净室换气次数的建议值为70~160,次/h(见表1),而新模型中即使是室内颗粒物的产生率达到106 个/(m3?h)(≥0.5μm 的颗粒物),换气次数仅为48次/h,即可满足洁净室ISO6 级的洁净级别.而事实上现在洁净室运行过程中,由于采取严格的技术措施,如员工穿洁净服、员工定期清洁洁净室、设置吹淋室等措施,洁净室≥0.5μm 的颗粒物的产生率远远低于106 个/(m3?h)(≥0.5μm 的颗粒物)[15],也就是说在洁净室中使用小的换气次数完全可以达到洁净级别的要求.因此小的换气次数同样能够满足洁净室洁净级别的要求,没有必要盲目加大换气次数带来不必要的能量浪费.

4.2 变量的改变对洁净室内洁净度的影响

变量的改变对洁净室内洁净度的不同程度的影响如图2~图5所示.


图2 为在EU=0.95、E=0.9997、D=0.5 个/(m3?h)、m=0.05、C0=3×106个/m3和θ=0.05 时,室内颗粒物的产生率对洁净度的影响.由图2 中可以看出,洁净室内颗粒物的产生率对洁净室内洁净度影响很大,室内颗粒物的产生率越高洁净室内颗粒物的洁净度就难以控制,当室内颗粒物的产生率较大(譬如大于105)时,即使换气次数增加到100 次/h,洁净室内的洁净度依然低.从图2 中还可以看出,换气次数增加到100 左右时,如果再继续增大换气次数则对洁净室的洁净度影响很小.所以通过增大换气次数来提高洁净室的洁净度并不是万能的.这是因为室内颗粒物的产生率越大,则需要的洁净空气就越多,但是当换气次数增大到一定程度时,洁净室内的洁净空气的增加会导致室内产生更多的涡流区,涡流区的增加会导致室内的洁净度难以控制.当室内颗粒物的产生率较大而又不可避免时,采用局部排风技术及时把产生的颗粒物排出去是最好的解决方式,没有必要盲目增大换气次数.

图3 为在EU=0.95、G=10 个/(m3?h)、m=0.05、D=0.5 个/(m3?h)、C0=3×106 个/m3和θ=0.05 时,末端过滤器的效率对洁净度的影响.由图3可以看出末端高效过滤器的效率越高,则洁净室内的洁净度越高.图3 反映出末端高效过滤器的效率确定后,换气次数增加到一定程度后对洁净室内的洁净度几乎没有影响,在换气次数大于80 后洁净度和换气次数的关系几乎是一条水平直线.这样的近似直线关系说明换气次数大于80 时,增加换气次数并不能提高洁净级别而只会造成能量的浪费.


图4 为在EU=0.95、G=10 个/(m3?h)、E=0.9997、D=0.5 个/(m3?h)、C0=107个/m3和θ=0.05时,新风百分比对洁净度的影响.由图4 可以看出增加洁净室外的新风对洁净度的影响是微乎其微的,新风的增加必然导致冷热负荷的增加,因此在洁净室设计中新风量只要满足人员的基本需要即可.同时,图4 也进一步说明小的换气次数就能满足洁净级别的要求,增加换气次数并不能提高洁净级别.

图5 为在EU=0.95、G=10 个/(m3?h)、E=0.9997、m=0.05、C0=107 /m3和θ=0.05 时,新风颗粒物的浓度对洁净度的影响.由图5 可知,当室外颗粒物的浓度不同时,4 条曲线几乎是重合的.这充分说明室外颗粒物的浓度对室内的洁净度的影响几乎是一样的,洁净度不因室外颗粒物的浓度的大小而变化,这是因为过滤器的过滤效率不因室外浓度的变化而变化,对于一个成型的过滤器而言过滤器的过滤效率与颗粒物浓度的大小没有直接关系,所以室外颗粒物浓度的增加并不会影响过滤器的过滤效率,也就不会影响洁净室内的洁净度[17].尽管如此,在建造洁净室时还是要选择洁净室室外颗粒物浓度较小的地方建造,因为颗粒物的浓度太高对过滤器的寿命影响很大,这会导致频繁地更换过滤器从而增加洁净室的运行费用.

5 结语

新提出的洁净室室内气溶胶浓度计算模型不仅包含换气次数,还包括其他关键性的变量,如颗粒物的产生率、颗粒物的沉降率、送风引起的颗粒物的增加、回风和排风引起的颗粒物的减少以及漏风引起的颗粒物的增加或减少等,这些变量都不同程度地影响洁净室的洁净级别.多变量新模型比换气次数单值函数经验公式模型更科学,这些变量的合理控制,要比仅仅使用控制换气次数来满足洁净级别具有更多的选择性.对于不同的洁净室设计工况,这些变量对洁净度的影响程度不同,通过变量灵敏度分析发现,除了换气次数,洁净室内颗粒物的产生率对洁净室内洁净度影响很大.室内颗粒物的产生率很高时,增加换气次数超过100 次/h 也难以控制洁净的洁净度;新风比例及室外新风颗粒物浓度变化对洁净室洁净度几乎没有影响.利用新模型优化设计洁净室,比采用推荐值可减少不必要的洁净室换气次数,使洁净室的通风净化能耗减少.

参考文献:

[1]International Organization for Standardization Technical Committee209(ISO/TC 209). ISO 146441—1 Cleanroom and Associated Controlled Enviroments (Part 1):Classificationof Air Cleanliness [S]. Geneva :International Organization for Standardation,1999.

[2]Sun Wei. Conserving fan energy in cleanrooms[J].ASHRAE Journal,2008,50(7):36-38.

[3]IEST. IEST-RP-CCO12 Considerations in CleanroomDesign[S]. NewYork:Journal of the IEST,1978.

[4]International Organization for StandardizationTechnicalCommittee 209(ISO/TC 209). ISO 14644-4 Cleanroom and AssociatedControlled Environments(Part 4) :Design ,Construction and Start-up[S]. Geneva :InternationalOrganization for Standardation,2001.

[5]中华人民共和国信息产业部. GB50073 洁净厂房设计规范[S]. 北京:中国标准出版社,2001.Ministry of Information Industry of the People's Republic ofChina. GB50073 Code for Design of Cleanroom[S]. Beijing:ChinaStandard Press,2001(in Chinese).

[6]Morrison P W. Environmental Control in Electronic Manufacturing[M]. New York:Western Electric Company,1973.

[7]许钟麟. 空气洁净技术原理[M]. 北京:科学出版社,2002.Xu Zhonglin. Principles of Air Cleaning Technology[M]. Beijing:SciencePress,2002(in Chinese).

[8]那恺. 某电子厂房改造项目中的几个问题[J]. 暖通空调,2008,38(8):115-116.

Na Kai. Some issues in an electricplant reformation project [J]. Journal HV and AC,2008,38(8):115-116(inChinese).

[9]蔡志明. 药厂洁净空调设计研究[J]. 天津城建学院学报,1998,4(2):41-44. Cai Zhiming. Discussion on the design of aircontaminationcontrol and air-conditioning of pharmaceutical factory[J]. Journalof Tianjin Institute of Urban Construction,1998,4(2):41-44(inChinese).

[10]张海飞. 制药厂空调设计常见问题分析与解决办法[J]. 医药工程设计,2006,27(4):35-38.Zhang Haifei. Analysis of usual problems in design ofairconditioner in pharmaceutical factory and solving approaches [J].Pharmaceutical and Engineering Design,

2006,27(4):35-38(inChinese).

[11]严德隆. 洁净室HVAC 系统节能及其进展[J]. 洁净与空调技术,2004(4):19-22.

Yan Delong. The energy-saving andprogress of HVAC system for cleanrooms [J]. Contamination Control and Air-ConditioningTechnology,2004(4):19-22(in Chinese).

[12]Brown W K,Lynn C A. Fundamental cleanroom concepts[J]. ASHRE Transactions,1986,92(1b):272-287.

[13]Kozicki M,Hoenig S A,Robinson P. Cleanrooms:Facilities and Practices[M]. New York:Van Nostrand ReinholdCompany,1991.

[14]Jaisinghani R. Air handling considerations for cleanrooms[C]//Proceedingsof Interphex Conference. Philadelphia:PhiladelphiaEducation Press,2001:56-58.

[15]Zhang J. Pharmaceutical cleanroom design[J]. ASHRAE Journal,2004,46(9):29-31.

[16]王爱民,王勖成. 采用传递函数法进行过程优化的灵敏度分析[J]. 清华大学学报,2000,40(4):58-61.Wang Aimin,Wang Xucheng. Sensitivity analysis for procedure optimization usingtransfer function method [J]. Journal of Tsinghua University,2000,40(4):58-61(inChinese).

[17]安爱明,秦继恒,王智超,等. 大气尘检测空气过滤器效率不确定因素的分析[J]. 洁净与空调技术,2008(2):1-6. An Aiming,Qin Jiheng,Wang Zhichao,et al. Indeterminacy

analysisof air filter’s efficiency test using air particle[J]. Contamination Controland Air-Conditioning Technology,2008(2):1-6(in Chinese)

更多
相关文章:
洁净厂房的使用维护管理
无尘室如何维护?
无尘洁净室运行管理及维护服务外包应注意哪些问题?
洁净室维护管理制度说明
无尘车间使用维护说明书
百级洁净室的维护与管理
高效过滤器如何维护呢?
如何对洁净室进行维护和管理
洁净室净化空调系统保养维护注意事项

上一条:测试空气净化器运行效率下一条:如何计算医院诊室的新风量
首页 | 关于我们 | 解决方案 | 工程案例 | 客户中心 | 1946浼熷痉瀹樻柟缃戠珯 | 1946浼熷痉澶囩敤缃戝潃 | 1946浼熷痉瀹樼綉
深圳、佛山、东莞、中山、江门、惠州、广州净化工程公司|无尘车间|洁净室|无尘室|净化车间|净化厂房|洁净厂房|洁净车间|洁净棚|GMP车间|GMP厂房等空调洁净工程施工及服务
拓展阅读:10万级净化车间标准|实验动物房|中央厨房|洁净室换气次数|洁净手术室规范|GMP洁净度等级|食品生产卫生规范|洁净厂房施工要点|无尘车间着装规范
Copyright © 2012-2018
Baidu
map