在对系统进行分区,确定哪些区域使用一个系统,哪些区域使用另一个系统后,则开始对系统的型式进行选择,不同的需求,也将使用不同的系统,下面介绍几种常用的洁净空调系统;
1、风机盘管+新风系统
对于非净化区域,(如办公等场所),一般使用风机盘管+新风,因为这些区域一般不会集中使用,所以选择风机盘管会更加灵活,同时非净化区域与净化区域共存的情况下,净化区的冷热源一般都是水系统,所以非净化区就可以不单独设置冷源,使用相同的冷热源,更加经济方便,当然了,不排除净化区面积特别小,选择的冷热源是直膨机,这种情况下,如果选择VRV+新风也是不错的选择,特别是在吊顶空间特别小的情况下。
设计的过程主要分为:负荷计算、风量计算、冷量计算;
负荷计算一般采用估算,根据房间面积以及房间类型,和负荷指标来估算房间的负荷,负荷指标可以参考空调设计手册里面的推荐值。
空气处理过程只要包括以下几方面:
1.1 夏季处理过程
目前风机盘管加新风系统夏季常用处理过程i-d图如图1所示[2](不考虑风机引起的温升)。
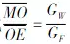
过程i-d图新风机组将室外新风从W点处理到与室内状态点N等焓的机器露点L,新风不承担室内负荷,过N作室内热湿比线与90%等相对湿度线交点为送风点O点。M在OL延长线上,且满足公式(1)。

式(1)中:GW—新风量,kg/s;GF—风机盘管风量,kg/s。
夏季风机盘管向室内提供的冷量(室内冷负荷)可表示为
Q=GF(iN-iM)=(GF+GW)(iN-iO) (2)
夏季新风机组需提供的冷量为
Qw=GW(iW-iL) (3)
1.2 冬季处理过程
风机盘管加新风系统冬季处理过程如图2所示。

由图2可知,冬季风机盘管和新风机组都是将空气加热,空气变化过程均竖直向上。无论风机盘管把室内空气加热到哪点,连接MO并延长与W'等含湿量线交点W″,都满足新风量和风机盘管风量的比例相等,用公式可表示为

但此时新风量和风机盘管风量的比例和夏季二者的比例并不一定相等。但实际上冬夏季新风量基本不变,风机盘管常用档位不变,即风机盘管风量冬夏季相同,
也就是冬夏季的新风比是相同的,为保证这一点,通常需要对新风加湿进行调节。风机盘管加新风系统有加湿冬季处理过程如图3所示。

新风机组将室外新风W'加热至W″点,然后喷蒸汽加湿至E点,风机盘管将室内空气N加热至M点,E点新风与M点室内空气混合至送风状态点O。E点、O点和M点满足公式
,且此时新风量和风机盘管风量的比例和夏季相同。
1.3 总结
上述说了风机盘管的选型,根据焓湿图去计算,这个其实有点复杂了,一般估计也不会这么去计算,我们一般在做的时候,就是根据室内点和热湿比线确定送风温差(一般都是露点送风,送风温差在8度左右),再根据室内负荷去计算出送风量,计算公式是Q(室内负荷)=风量(m/s)×密度(kg/m^3)×温差(摄氏度)×比热(w/kg*摄氏度),室内新风不管,单独另算新风负荷,这样就能根据送风量来选择风机盘管;
如果想简单点,就直接根据室内负荷去选择风机盘管的制冷制热量,再乘个系数;
如果想精准点,就根据上述的焓湿图处理过程,计算出室内点与处理后的点焓差,得出制冷量来选择风机盘管;
几种方式都可以,就看怎么去选择了。
原文来源:无尘无菌洁净室专家 微信号:rfilter //www.capeel.com/