国际标准化组织ISO的相关工作组历时多年修订,2015版 ISO14644-1 Cleanrooms and associated controlled environments — Part 1:Classification of air cleanliness by particle concentration (洁净室及相关受控环境第一部分:空气洁净度分级)终于2015年12月15日已经正式发布,它是洁净室级别判定的纲领性文件。
根据本人浅薄的知识,斗胆对2015版(新版)和1999版(老版)的四个主要差别进行粗陋的“揣读”。
1 洁净度分级表
分级表中规定了在各个洁净度级别下对应各个粒径的上限浓度(the maximum particle concentration at variousparticle sizes)。

在新版中,将老版ISO 5级(俗称百级)的≥5μm的粒子的上限浓度值29粒/m3去掉了,大家可以对照看上下两个新老表。
因为现在ISO认为,在该级别使用低浓度限值来分级是不合适的,而且对于大于1μm的粒子可能存在采样损失。实际应用中如果需要规定≥5μm粒子(大粒子,macroparticle)的浓度,可以使用“M描述符”(下面会介绍)。
ISO一直认为采样读数在20以下不足以进行级别判定,这可能是它取消5μm上限值的初衷。不过,考虑到欧盟、国际药品认证合作组织和世界卫生组织的制药行业GMP的需要,它推荐采用“M描述符”(M descriptor,老版也有这个东西,新版对测量方法进行了内容扩充)。
也就是说,ISO的分级表没有对ISO5级≥5μm的粒子进行规定,但是,权威机构、用户、设计单位或承包商可以协商确定要求。比如,我国人药GMP分级表中要求≥5μm的上限浓度是20粒/m3;洁净厂房设计规范沿用的是老版ISO标准,即29粒/m3;兽药GMP和医院手术部规范要求“在规定的方法下”不得检出。
2 大粒子
标准的资料性附录C中,介绍了大粒子(macroparticles,5~20μm)的描述和检测方法。例如,“ISO M (29; ≥ 5 μm); LSAPC”表示,采用光散射悬浮粒子计数器(LSAPC)方法要求≥5 μm的粒子浓度不超过29粒/m3。
检测方法要点如下:
测量大粒子的LSAPC和测量≥0.1 μm粒子的LSAPC计数器是一类东西,只是对1 μm以下的粒子测量没有较高的敏感性要求。但是,必须使用流量在28.3L/min及以上的计数器。
而且,由于粒径大了,在单向流区,必须采用等动力采样(isokinetic sampling),在非单向流区,采样口要朝上或迎着主要气流。
采样管(从采样口 the inlet of sampling probe 到计数器之间的transit tube)长度要按照计数器厂家的要求,通常不超过1m,以尽量减少粒子附着在管道中。(洁净室//www.capeel.com/)
测量时,不仅要记录要观测的大粒子的浓度,还要记录比大粒子小一等粒径的浓度,以便判别仪器是否正常。
采样流量的确定方法与常规粒径(0.1, 0.2, 0.3, 0.5, 1μm)是相同的。而且,为了保证测量和读数的稳定性,用户和承包商可以约定在每个测点按一定时间间隔进行3个和以上的多次采样。
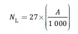
3 采样点数量
在老版中,最少采样点数量(the minimumnumber of sampling locations,俗称测点数量)是采用房间“面积开根”的方法,而新版是根据其提供的表格确定最少采样点数量。

当面积大于1000平方米时,按下面照公式计算。其中,A是面积m2。

例如,4平方米的洁净室,老版和新版都是2个测点;而100平方米老版要10个测点,新版要16个点;625平方米,老版25个点,新版要26个;1225平方米老35个点,新版33个点。
所以,不能一概说新版测点数量增加了,工作量增加了。但是,对于常用的几十、几百平方米的洁净室来说,工作量增加了50%左右!
4 级别判定方法
老版中,在记录每个测点的读数后,如果测点只有1个或10个以上,每个测点或每个测点的多次浓度读数平均值都满足级别要求,那么全室就满足了。
如果测点在2~9个之间时,还要进行95%置信上限UCL(the95% upper confidence limit)计算——利用各测点的读数进行统计学计算,然后判定房间是否满足洁净度等级。这种做法可能会出现:各点单独都满足要求,而经过UCL计算的结果却超标。(这是因为各点浓度读数参差不齐。)
ISO认为UCL既不适用,而且长期以来也没有被始终如一地使用,因此新版中放弃了UCL方法。老版的理论基础是假定房间内粒子服从正态分布,但是新版中不再假定任何分布。
新版判定方法是每个测点都要满足浓度要求。如果每个点测一次,那么每个测点的浓度(theconcentration in a single sample volume at each sampling location)不能超过相应的级别限值要求;如果每个测点进行多次采样,那么多次读数平均值(the average in multiple sample volumes at eachsampling location)需要满足限值要求。
我们说过,在几十和几百平方米的洁净室中,测点增加了很多,所以ISO认为,如果使用新方法(新的测点数量+每个测点判定)判定洁净室满足ISO级别,那么理论上就可以有95%的置信度认为:全室90%的区域是满足级别要求的。
举例
下面举个例子(该例子不在标准附录中,属本人杜撰)。
比如,某25平方米洁净室,设计级别为ISO Class5; at-rest; 0.5μm; ISO M (20; ≥ 5 μm); LSAPC,即俗称静态百级:≥0.5μm的粒子浓度不能超过3520粒/m3,同时≥5μm的粒子浓度不能超过20粒/m3。
(1) 查表得测点7个。
(2) 每个测点的采样流量是根据下面公式确定的,注意是按照要观测的最大粒径(the largest selectedparticle size)允许上限浓度计算。同时保证:每个点至少测2 L,至少1分钟。

那么,我们的采样流量就是:20/20×1000 = 1000 L。哇,1 m3!如果使用28.3L/min的计数器,需要35.3分钟完成一次测量。如果嫌测量时间长,可以买大流量的计数器,或者与用户商量采用标准附录D推荐的顺序采样法(sequential sampling procedure)。
每个测点都有读数后,就逐点进行判定,如果每个点都满足,那么全室就满足级别要求了。
-iwuchen摘自网上整理
ISO14644-1 2015版全文如下:







































